合肥研究院V2O3金屬-絕緣體相變機理研究獲進展
近日,中國科學院合肥物質科學研究院固體物理研究所功能材料與器件研究部研究員朱雪斌課題組在V2O3金屬-絕緣體相變機理研究方面取得新進展,相關研究結果以Unveiling the mechanisms of metal-insulator transitions in V2O3: The role of trinal distortion為題,發表在Physical Review B上。
金屬-絕緣體相變是指材料在組分、溫度、壓力等作用下,發生金屬相與絕緣相之間的轉變,通常伴隨著電阻率、磁性、光學反射率等物理性質的顯著變化。這種獨特物性使得這類相變材料在光電開關、信息存儲、傳感器、場效應晶體管、智能窗口等領域具有廣闊的應用前景。因此,金屬-絕緣體相變一直是凝聚態物理和材料科學中備受關注的熱點和研究重點。
V2O3是一種典型的具有豐富金屬-絕緣體相變現象的材料:室溫常壓下為順磁金屬(PM)相,Cr摻雜在晶體結構對稱性不變的情況下將PM相轉變為順磁絕緣(PI)相,該PM-PI相變也被認為是凝聚態物理中標準的Mott-Hubbard相變;當溫度降低到160 K左右時,V2O3將從PM相轉變為反鐵磁絕緣(AFI)相,同時伴隨著結構相變。V2O3中的金屬-絕緣體相變已得到人們的持續關注和廣泛研究,但目前關于PM-PI相變是源于電子關聯/三角畸變或Cr摻雜導致的局域結構畸變/無序存在爭議,對PM相及其PM-AFI相變的基本物理問題仍沒有清晰的認識。
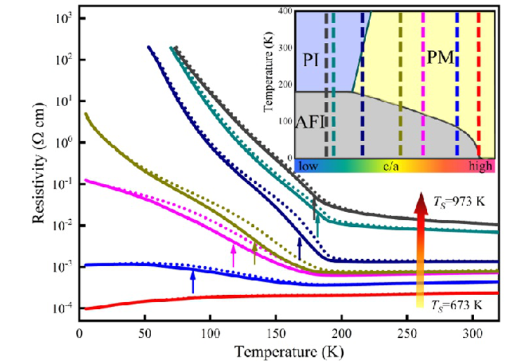
為了解決上述問題,科研人員在V2O3薄膜生長過程中將襯底溫度作為唯一變化的調控參數,利用V2O3和Al2O3之間的晶格/熱膨脹系數失配,在V2O3薄膜中實現了應力和三角畸變的大范圍連續調節。在V2O3薄膜中通過面內拉伸應力增強三角畸變將PM相轉變為PI相,電輸運性質和拉曼光譜結果表明V2O3薄膜中應力與單晶中Cr摻雜對PM-PI相變具有相同的作用。這為澄清V2O3中PM-PI相變機理爭議提供了關鍵的實驗證據,直接揭示了三角畸變在PM-PI相變中的重要作用,對比實驗表明Cr摻雜導致的局域結構畸變/無序只是起到了增大PM相和PI相電阻率的作用。通過拉曼光譜的研究還發現V2O3中PM相的軌道占據態隨三角畸變發生顯著變化并且直接決定了PM-AFI相變特性,從而改變了之前關于V2O3的PM相具有相同軌道占據態的傳統觀點,揭示了V2O3薄膜中的應力具有與單晶中的摻雜和靜水壓截然不同的調控機理,這為認識和理解PM相及其PM-AFI相變機理提供了新的依據。
研究工作得到國家重點研發計劃和國家自然科學基金的支持。

圖1.(a)V2O3中三角畸變與t2g能級劈裂關系示意圖;(b)V2O3薄膜晶格常數隨襯底溫度的變化關系;(c)V2O3與Al2O3的晶格/熱膨脹失配對V2O3薄膜晶格常數a的影響

圖2.不同襯底溫度下制備的V2O3薄膜電阻率隨溫度的變化關系

圖3.(a)室溫下V2O3薄膜PM相的拉曼光譜;(b)A1g模與PM-AFI相變特性的關系
文章來源:合肥物質科學研究院